22+ pages calculate the velocity of the target ball after the collision 6mb. It makes a head-on collision with a target ball B of mass 050 kg at rest at the edge of the table. Immediately after the collision the incoming ball bounces backward with a speed of 36 ms. Calculate a the velocity of the target ball after the collision and b the mass of the target ball. Check also: velocity and learn more manual guide in calculate the velocity of the target ball after the collision Take my word for it.
Vf1 m1 m2vI1 2 m2vI2 m1 m2 vf2 2 m1vI1 m1 m2vI2 m1 m2 Where M1 and M2 are the masses of the objects. The striking balls new path assuming that the target ball is stationary at the instant of contact will be perpendicular to the target balls new path as given in the above answer.
Examples
| Title: Examples |
| Format: eBook |
| Number of Pages: 259 pages Calculate The Velocity Of The Target Ball After The Collision |
| Publication Date: April 2017 |
| File Size: 1.3mb |
| Read Examples |
Immediately after the collision the incoming ball bounces backward with a speed of 38 ms.

A 20 cmsec B 30 cmsec C 40. The following equation results. Velocity of ball 2 after collision Let the velocity of ball two after collision be V2 Using conservation of energy of momentum then the formula reduces to U1U2 V1 V2. A ball of mass 0220 kg that is moving with a speed of 63 ms collides head-on and elastically with another identical ball initially at rest. An incident ball A of mass 010 kg is sliding at 14 ms on the horizontal tabletop of negligible friction as shown above. For a non-head-on elastic collision between equal masses the angle between the velocities after the collision will always be 90 degrees.

Elastic Collisions In One Dimension
| Title: Elastic Collisions In One Dimension |
| Format: ePub Book |
| Number of Pages: 228 pages Calculate The Velocity Of The Target Ball After The Collision |
| Publication Date: July 2018 |
| File Size: 2.6mb |
| Read Elastic Collisions In One Dimension |

A Ball Of Mass 0 220 Kg That Is Moving With A Speed Of 7 5 M S Collides Head On And Elastically With
| Title: A Ball Of Mass 0 220 Kg That Is Moving With A Speed Of 7 5 M S Collides Head On And Elastically With |
| Format: ePub Book |
| Number of Pages: 161 pages Calculate The Velocity Of The Target Ball After The Collision |
| Publication Date: November 2021 |
| File Size: 2.6mb |
| Read A Ball Of Mass 0 220 Kg That Is Moving With A Speed Of 7 5 M S Collides Head On And Elastically With |
Examples
| Title: Examples |
| Format: PDF |
| Number of Pages: 146 pages Calculate The Velocity Of The Target Ball After The Collision |
| Publication Date: August 2020 |
| File Size: 800kb |
| Read Examples |

Chapter 7 Linear And Angular Momentum Ppt Download
| Title: Chapter 7 Linear And Angular Momentum Ppt Download |
| Format: ePub Book |
| Number of Pages: 161 pages Calculate The Velocity Of The Target Ball After The Collision |
| Publication Date: January 2021 |
| File Size: 1.9mb |
| Read Chapter 7 Linear And Angular Momentum Ppt Download |

Sph4u Practice Test For Unit 4 2014 K
| Title: Sph4u Practice Test For Unit 4 2014 K |
| Format: eBook |
| Number of Pages: 148 pages Calculate The Velocity Of The Target Ball After The Collision |
| Publication Date: October 2019 |
| File Size: 2.1mb |
| Read Sph4u Practice Test For Unit 4 2014 K |

A Ball Moving On A Horizontal Frictionless Plane Hits An Identical Ball At Rest
| Title: A Ball Moving On A Horizontal Frictionless Plane Hits An Identical Ball At Rest |
| Format: PDF |
| Number of Pages: 275 pages Calculate The Velocity Of The Target Ball After The Collision |
| Publication Date: January 2017 |
| File Size: 3.4mb |
| Read A Ball Moving On A Horizontal Frictionless Plane Hits An Identical Ball At Rest |
Examples
| Title: Examples |
| Format: ePub Book |
| Number of Pages: 268 pages Calculate The Velocity Of The Target Ball After The Collision |
| Publication Date: August 2020 |
| File Size: 2.1mb |
| Read Examples |

Chapter 7 Linear And Angular Momentum Ppt Download
| Title: Chapter 7 Linear And Angular Momentum Ppt Download |
| Format: eBook |
| Number of Pages: 199 pages Calculate The Velocity Of The Target Ball After The Collision |
| Publication Date: January 2021 |
| File Size: 800kb |
| Read Chapter 7 Linear And Angular Momentum Ppt Download |

Problem 7 31 Part A Onstants Calculate The Velocity Chegg
| Title: Problem 7 31 Part A Onstants Calculate The Velocity Chegg |
| Format: PDF |
| Number of Pages: 307 pages Calculate The Velocity Of The Target Ball After The Collision |
| Publication Date: February 2017 |
| File Size: 1.1mb |
| Read Problem 7 31 Part A Onstants Calculate The Velocity Chegg |
Examples
| Title: Examples |
| Format: eBook |
| Number of Pages: 271 pages Calculate The Velocity Of The Target Ball After The Collision |
| Publication Date: December 2018 |
| File Size: 1.5mb |
| Read Examples |
Examples
| Title: Examples |
| Format: PDF |
| Number of Pages: 209 pages Calculate The Velocity Of The Target Ball After The Collision |
| Publication Date: November 2017 |
| File Size: 1.8mb |
| Read Examples |
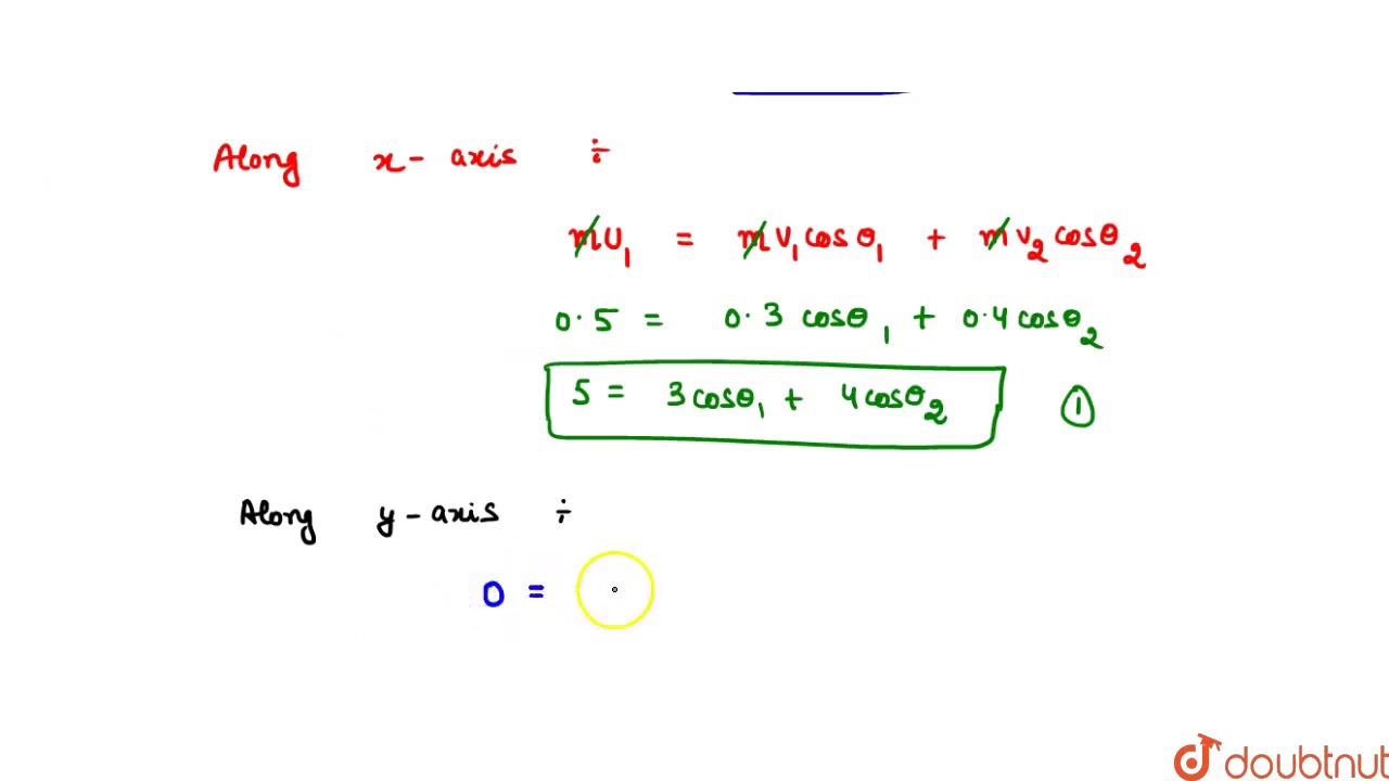
Velocity of ball 2 after collision Let the velocity of ball two after collision be V2 Using conservation of energy of momentum then the formula reduces to U1U2 V1 V2. Assume the positive direction is forward Calculate the velocity of the target ball after the collision. A ball moving on a horizontal frictionless plane hits an identical ball at rest with a velocity of 50cm sec.
Here is all you need to read about calculate the velocity of the target ball after the collision A 20 cmsec B 30 cmsec C 40. 3000v 15 000 30 000. But what if both balls were in motion at the instant of contact. Sph4u practice test for unit 4 2014 k examples elastic collisions in one dimension chapter 7 linear and angular momentum ppt download examples a ball moving on a horizontal frictionless plane hits an identical ball at rest A the velocity ofthe target ball after the collision.
0 Komentar